at49f1024 Datasheet - Atmel

The AT49F1024 is a 1-Megabit 5-volt only Flash Memory IC. It is organized as 64K x 16 bits and is manufactured by Atmel.

Manufacturer
Atmel
Part Number
AT49F1024
Primary Category
SEMICONDUCTORS - INTEGRATED CIRCUITS
Package
PLCC-32
Key Spec 1
1-Megabit
Key Spec 2
5-volt only

📖 Datasheet Preview

at49f1024 Datasheet Page 1
Page 1 of 13
at49f1024 Datasheet Page 2
Page 2 of 13
at49f1024 Datasheet Page 3
Page 3 of 13
at49f1024 Datasheet Page 4
Page 4 of 13
at49f1024 Datasheet Page 5
Page 5 of 13
at49f1024 Datasheet Page 6
Page 6 of 13
at49f1024 Datasheet Page 7
Page 7 of 13
at49f1024 Datasheet Page 8
Page 8 of 13
at49f1024 Datasheet Page 9
Page 9 of 13
at49f1024 Datasheet Page 10
Page 10 of 13
at49f1024 Datasheet Page 11
Page 11 of 13
at49f1024 Datasheet Page 12
Page 12 of 13
at49f1024 Datasheet Page 13
Page 13 of 13

⬇️ Download Complete Datasheet

Get the full 13-page technical datasheet in PDF format

📊 PDF Format 📏 N/A 📖 13 Pages 🌐 English

📝 Component Overview

The AT49F1024 is a 1-Megabit 5-volt only Flash Memory IC. It is organized as 64K x 16 bits and is manufactured by Atmel. The device operates from a single 5-volt supply and has a maximum access time of 120 ns. It features a byte reprogrammable algorithm that allows the entire memory to be erased and reprogrammed.

Key Features and Benefits

Typical Applications

📊 Complete Technical Specifications

Absolute Maximum Ratings

ParameterValue
Operating Temperature-40 to +85°C
Storage Temperature-65 to +150°C
Voltage on any pin-0.6V to VCC + 0.6V

Electrical Characteristics

ParameterConditionMinTypMaxUnit
Access TimeVCC = 5V, TA = 25°C70 ns90 ns120 nsns
Standby CurrentVCC = 5V, f = 1 MHz1 mA5 mA10 mAmA

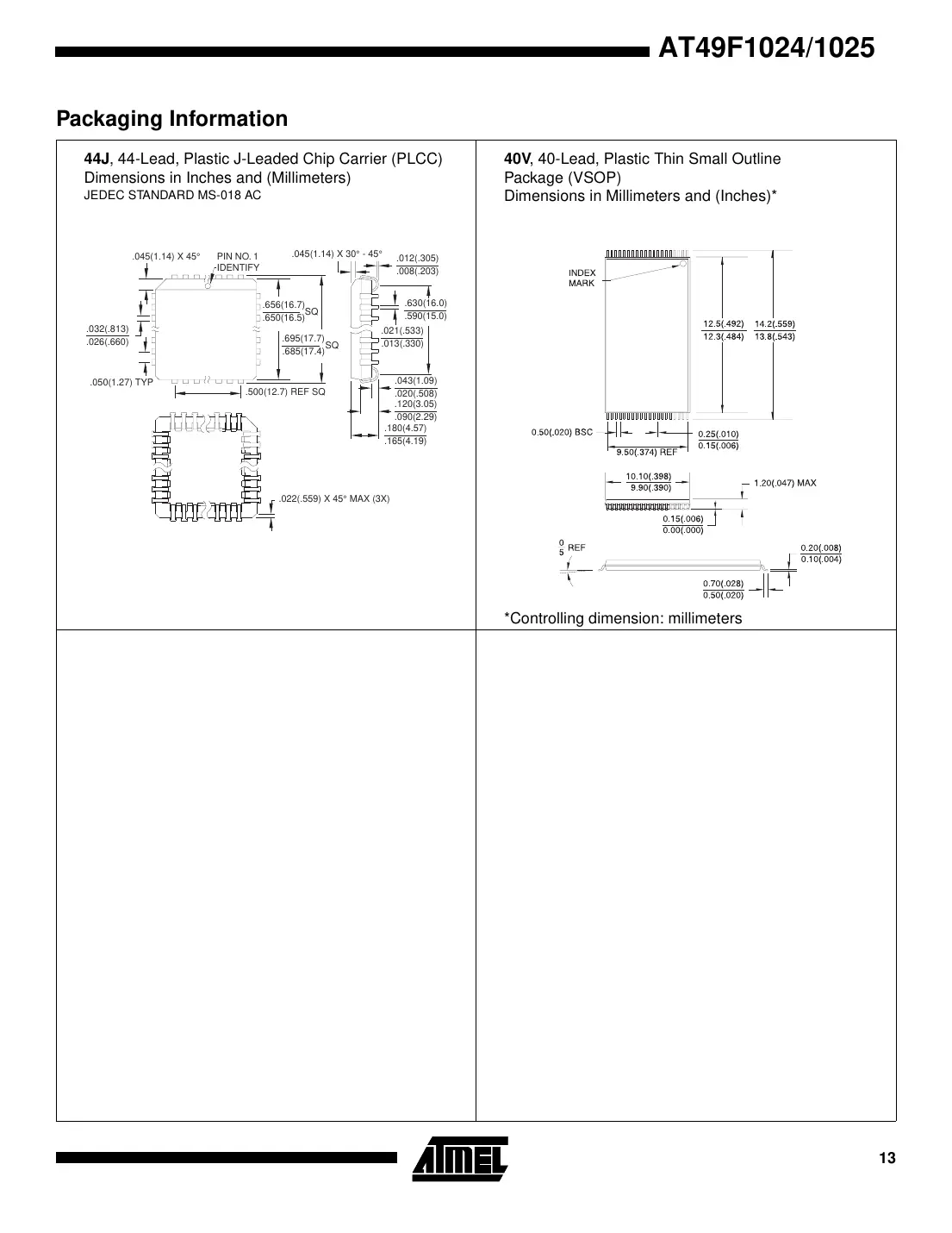
Package Information

Pin Configuration

🔧 Application Guidelines

Design Considerations

The AT49F1024 should be used in applications where a high-density, low-power Flash memory is required. The device is suitable for use in a wide range of applications, including portable electronic devices, embedded systems, and industrial control systems.

Installation Guidelines

The AT49F1024 is available in a 32-lead PLCC package. The device should be handled with care to avoid damage to the leads or the package. The recommended soldering temperature is 230°C for a maximum of 30 seconds.

Operational Notes

The AT49F1024 operates from a single 5-volt supply and has a maximum access time of 120 ns. The device features a byte reprogrammable algorithm that allows the entire memory to be erased and reprogrammed.